stupor-mundi Posted July 18, 2020 Posted July 18, 2020 (edited) A long time bug bear of tanking in IL-2 has to be addressed eventually, I would hope. Driving the (new) T34, spinning tanks have been a long standing issue, and the tank spinning I had the impression was now better controlled than a few versions ago. Today on the Stalingrad map, on lengthy road trips, this happened to me twice: driving along a road, top speed, 50ish km/h, steering to follow the (almost straight) road, I slightly oversteer, the tank not only spins but then, spinning, gets caught on something, overturns, and blows up. Cartoonish, I'd say. I usually don't complain about when my tank overturns, when I do sketchy things in the mountains. But this was on almost flat horizontal terrain. Of course, more polygonal than reality, but still. There seems to be something about the physics modeling here that's deeply flawed. IL-2 has 'sim' status when it comes to flying. Is the same physics model that's used for the planes also used for the tanks? Maybe some aspects of physics modeling which are deemed good enough when flying, because they only play a role when taking off and landing, are just not good enough for ground based vehicles? Or is the modeling of tank physics done differently maybe? I strongly suspect something is done here which isn't at all comparable to the impressive flight models of the planes. It seems to me for instance that the modeled center of gravity is wayyyy too high, compared with reality, to make this overturning possible. Also, I have the impression that suspension isn't modeled at all. I.e. in a real vehicle, wheel suspension ensures that the track keeps contact with the ground, as the tank drives along a road that isn't perfectly horizontal. I think what happens here is that, due to lack of suspension, at those poligonal edges in the road, the tank actually starts flying for a moment (unrealistic), which subsequently leads to the spinning. This kind of crass departure from reality will get in the way of TC being seen as a 'sim', as opposed to 'game'. And if that happens, it can't be good for the prestige of IL-2 overall. Edited July 18, 2020 by stupor-mundi 4
[KG]Destaex Posted July 18, 2020 Posted July 18, 2020 I think its done pretty well over all but have not seen what you have seen yet. I am only a week or so in however and am playing with the mission editor more than the game atm.
Mitthrawnuruodo Posted July 18, 2020 Posted July 18, 2020 (edited) It is entirely realistic that tanks can lose grip, spin, and occasionally even overturn. In general, this is not a problem with the game. If you search for something like "tank drifting" videos, you can find many real examples. You do need to be careful when driving at high speed or on slippery surfaces. Unless you've seen this happen during gentle driving, I don't think you've found a "bug". Edited July 20, 2020 by Mitthrawnuruodo
stupor-mundi Posted July 18, 2020 Author Posted July 18, 2020 35 minutes ago, Mitthrawnuruodo said: If you search for something like "tank drifting" videos, you can find many real examples. You do need to be careful when driving at high speed or on slippery surfaces. This is a point worth addressing. The behavior visible in such tank drifting videos is, in detail, the kind of behavior it would be desirable to see, in situations where the conditions are suitably extreme, i.e. a combination of a low friction surface and an initial extreme steering input. That however is completely different from the situation I have described, and which people who have driven the T34 for a longer period of time, all have experienced numerous times and will confirm. What is the point of newbies replying to every thread along the lines of "your point is invalid, this never happened to me, and I already use IL-2 in tanks for 2 weeks". Comeon.
=J18=FritzGerald Posted July 18, 2020 Posted July 18, 2020 If you look at this video, you can see me turning over around 2:37, it had happened to me, and I considered my self lucky to not blow up 1 1
stupor-mundi Posted July 18, 2020 Author Posted July 18, 2020 48 minutes ago, FlyingFalcon said: If you look at this video, you can see me turning over around 2:37, it had happened to me, and I considered my self lucky to not blow up Yup, this is the kind of thing I was referring to. The one in the video is a variant without very much spinning, the overturning starts almost straight away. But you also get variants, as happened to me today, where there is more spinning initially and you almost think it might be ok, and then the toppling happens.
=J18=FritzGerald Posted July 18, 2020 Posted July 18, 2020 yup I've been playing some heavier tanks recently, so I do start spinning sometimes, in the panther, but I haven't toppled yet in it.
[KG]Destaex Posted July 19, 2020 Posted July 19, 2020 6 hours ago, stupor-mundi said: This is a point worth addressing. The behavior visible in such tank drifting videos is, in detail, the kind of behavior it would be desirable to see, in situations where the conditions are suitably extreme, i.e. a combination of a low friction surface and an initial extreme steering input. That however is completely different from the situation I have described, and which people who have driven the T34 for a longer period of time, all have experienced numerous times and will confirm. What is the point of newbies replying to every thread along the lines of "your point is invalid, this never happened to me, and I already use IL-2 in tanks for 2 weeks". Comeon. You’re right of course. I should not have replied. I just did not see anybody else replying and could have done testing to reproduce and support your report if nobody else replied. I was just letting you know I was here and read your post. I was not trying to oppose your report which is why I reported my noobness. So I pretty much discredited myself. One thing that the other poster did make me think of though, is whether their is a way to simulate less pressure on the throttle sticks. We are using digital 100% “off or on” style arrow keys where the throttle is either at 100% or off. At least I am. If I use a my hotas warthog (analogue) to drive I wonder if less power or power we can control more in each gear would yield better results in broken country or country that may be littered with debris. The only way we have with the keyboard of limiting speed is to lower the gear manually. I wonder if double tapping the arrow keys at the revs you want could just lock the throttle their at whatever power % it is on. The same applies for turning the vehicle. It has to be a huge jerky correction. I wonder if my joystick is the answer to this. I am also thinking about the brakes seeming to auto apply themselves when I take my hands off the arrow keys. I know the problem the op is describing needs to be fixed by the devs. Hitting tiny obstacles should not flip the vehicle, i’d expect a track to be thrown before a vehicle is flipped?
stupor-mundi Posted July 19, 2020 Author Posted July 19, 2020 23 minutes ago, [KG]Destaex said: whether their is a way to simulate less pressure on the throttle sticks. You can map drive forward/backward to an axis. That is definitely a good idea, since stealth is important and you'll often want the best compromise between being fast and trying not to be too loud. In many situations you'll want to drive slowly. You can also map turning to an axis, which personally I haven't found very useful, but certainly it's an option.
LachenKrieg Posted July 19, 2020 Posted July 19, 2020 12 hours ago, stupor-mundi said: A long time bug bear of tanking in IL-2 has to be addressed eventually, I would hope. Driving the (new) T34, spinning tanks have been a long standing issue, and the tank spinning I had the impression was now better controlled than a few versions ago. Today on the Stalingrad map, on lengthy road trips, this happened to me twice: driving along a road, top speed, 50ish km/h, steering to follow the (almost straight) road, I slightly oversteer, the tank not only spins but then, spinning, gets caught on something, overturns, and blows up. Cartoonish, I'd say. I usually don't complain about when my tank overturns, when I do sketchy things in the mountains. But this was on almost flat horizontal terrain. Of course, more polygonal than reality, but still. There seems to be something about the physics modeling here that's deeply flawed. IL-2 has 'sim' status when it comes to flying. Is the same physics model that's used for the planes also used for the tanks? Maybe some aspects of physics modeling which are deemed good enough when flying, because they only play a role when taking off and landing, are just not good enough for ground based vehicles? Or is the modeling of tank physics done differently maybe? I strongly suspect something is done here which isn't at all comparable to the impressive flight models of the planes. It seems to me for instance that the modeled center of gravity is wayyyy too high, compared with reality, to make this overturning possible. Also, I have the impression that suspension isn't modeled at all. I.e. in a real vehicle, wheel suspension ensures that the track keeps contact with the ground, as the tank drives along a road that isn't perfectly horizontal. I think what happens here is that, due to lack of suspension, at those poligonal edges in the road, the tank actually starts flying for a moment (unrealistic), which subsequently leads to the spinning. This kind of crass departure from reality will get in the way of TC being seen as a 'sim', as opposed to 'game'. And if that happens, it can't be good for the prestige of IL-2 overall. I agree, and have also seen something similar in the "Into the breach" mission with the Tiger. Near the end of the mission just after you cross the tracks, there is what looks like a large mound of snow. I drove further on up the hill, turned around, and drove back down hitting the mound of snow with my right track, and the 56 ton Tiger jumped into the air and flipped upside down onto its turret.
2/JG26_rudidlo Posted July 19, 2020 Posted July 19, 2020 (edited) Tank also overturns, when you hit with the right track corner of the house. Edited July 19, 2020 by 1stCL/rudidlo
stupor-mundi Posted July 19, 2020 Author Posted July 19, 2020 8 hours ago, LachenKrieg said: mound of snow with my right track, and the 56 ton Tiger jumped into the air and flipped upside down onto its turret. 3 hours ago, 1stCL/rudidlo said: Tank also overturns, when you hit with the right track corner of the house. The objects in IL-2 landscapes are infinitely stiff and strong (won't deform). With the exception of the newfangled frangible objects in the Prokhorovka map, and the pushable trees. And the tanks themselves, while they can be damaged by being shot at, and being damaged by overturning, are, when it comes to driving around, initially also infinitely stiff and strong. Thus, the infinitely stiff 50ish ton tank slides sideways into a small obstacle, which is also infinitely stiff. Of course, in reality the obstacle would be deformed, and if the obstacle was extremely strong, the tracks would be damaged and maybe the wheels or the suspension. But because nothing is modeled as yielding, in this, limited, physics model, the embodied energy / impulse of the tank has to go somewhere, and the tank overturns. Not even remotely realistic.
40plus Posted July 19, 2020 Posted July 19, 2020 I've rolled the Sherman more times than I care to admit. Once in a T34, never in a German tank.....it does feel a bit over done.
Mitthrawnuruodo Posted July 19, 2020 Posted July 19, 2020 (edited) 1 hour ago, 40plus said: I've rolled the Sherman more times than I care to admit. Once in a T34 Interestingly, the Sherman overturning more frequently than the T-34 is consistent with the experiences of at least one Lend-Lease user. Dmitry Loza recounted that the Shermans were much easier to accidentally overturn due to their small width and high centre of gravity. https://books.google.ca/books/about/Commanding_the_Red_Army_s_Sherman_Tanks.html?id=q2jOf2a3-5EC&redir_esc=y Edited July 19, 2020 by Mitthrawnuruodo 1
LachenKrieg Posted July 19, 2020 Posted July 19, 2020 3 hours ago, stupor-mundi said: The objects in IL-2 landscapes are infinitely stiff and strong (won't deform). With the exception of the newfangled frangible objects in the Prokhorovka map, and the pushable trees. And the tanks themselves, while they can be damaged by being shot at, and being damaged by overturning, are, when it comes to driving around, initially also infinitely stiff and strong. Thus, the infinitely stiff 50ish ton tank slides sideways into a small obstacle, which is also infinitely stiff. Of course, in reality the obstacle would be deformed, and if the obstacle was extremely strong, the tracks would be damaged and maybe the wheels or the suspension. But because nothing is modeled as yielding, in this, limited, physics model, the embodied energy / impulse of the tank has to go somewhere, and the tank overturns. Not even remotely realistic. While the tanks themselves have a lot of detail modeled into them, both the maps and the tanks are still in need of some love. The maps more so. Even some of the objects on the map don't seem to be modeled correctly. When I am driving near an object on the detailed map, often the tank can get hung up, or stuck. Switching to the external view shows that the track is well past the object in question, but the tank is still unable to move as if the x, y coordinates of the object are not aligned with the visual representation of the objects location. And there are some things still not modeled on the tanks. For example, the Tiger was able to neutral steer. With the transmission in neutral, turning the Tiger right would cause the left track to rotate forward, and the right track to rotate in reverse. Turning the Tiger left would cause the opposite. This is not modeled in Tank Crew. Also the track noises of most tanks in Tank Crew are either too quiet, or not present especially at low speeds/gears. What separates Tank Crew from other games/sims is the detail given to the tank models themselves and the heightened perception that you are driving a 56 ton vehicle. This heightened perception of vehicle weight/mass and power largely comes from the visual and audible cues in Tank Crew. Regarding just the driving aspect alone, the sense that one gets from Tank Crew's Tiger tank is so much more real then the sense you get driving the same tank in War Thunder, or WoT for example. The fact that the first is intended to be a tank sim and the other two are examples of an arcade shooter should stress this point. But the created perception of driving a tank could be heightened even more if the metal-on-metal sounds of the track links rotating would be made more distinguishable from the engine/transmission noises when viewing externally, and especially at low road speeds/gears. But there are numerous things that are modeled incredibly well. Notice in the linked video how small details like the tracks tightening as the drive wheels put them under tension with the superstructure rocking back and forth, lunging forward with each forward gear shift. The whine of the transmission/ final drive even changes pitch as power is diverted from one track in a turn. And notice how the rubber and road wheels themselves are modeled to show damage. Even the decrease in rotation speed of the wheels on the turning side is modeled. The only miss here is the rotation speed of the outside wheels (right track of a tank turning left) seems to also be slowing down too much when they shouldn't. It is hard to tell if it is the same animation, or if the outside wheels slow down, but just not as much. https://studio.youtube.com/video/YY_JXPZlXis/edit
Thad Posted July 19, 2020 Posted July 19, 2020 Noobies can't recall when we only had two (2) player tanks and when we only dreamed and hoped for more. Not to mention a special more detailed map for our growing number of tanks. Us old timers remember. ?
LachenKrieg Posted July 19, 2020 Posted July 19, 2020 (edited) As a new guy, I can still appreciate that Thad. All I have to do is jump in either of the two free tanks to compare. There is no questioning all the improvements made. I am especially impressed with the road wheel damage model. My previous post is not a knock against Tank Crew, but like the topic of this thread, is meant as a request to the Dev's more then anything. The Dev's should be commended for all the progress made so far, but that doesn't change the hopes that they continue in that direction. Edited July 19, 2020 by LachenKrieg
SCG_judgedeath3 Posted July 19, 2020 Posted July 19, 2020 (edited) 59 minutes ago, Thad said: Noobies can't recall when we only had two (2) player tanks and when we only dreamed and hoped for more. Not to mention a special more detailed map for our growing number of tanks. Dont get me started how it was to play old simulators from the 90s Yep, and remember when T-34 could knock out a tiger with a single HE shell, or if showing the back of the tank can cause a bug to happen that makes the t-34 unkillable, or the tanks pretty much had a hp gauge: needed to hit tanks certain amount of times to knock them out. Still much left to fix but its way better than a year ago. Edited July 19, 2020 by SCG_judgedeath3 1
[KG]Destaex Posted July 20, 2020 Posted July 20, 2020 With regard to people wanting harsher noises which my poor tinnitus ridden ears cannot handle in the flight sim version of this game (you cannot turn the engine sounds down so its all or nothing), the russians seem to have had more hearing insulation than the germans for tanks. I think the fermans wore ear muffs and that the mic and headphone setup would have allowed a good level of hearing above the din of the motor?
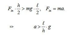
Lofte Posted July 20, 2020 Posted July 20, 2020 (edited) On 7/18/2020 at 7:48 PM, stupor-mundi said: Cartoonish, I'd say. Let's take school physik's course and figure out - is it really cartoonish or not. 1) Let's suppose, that T-34 is just box with sand with these dimentions (based on mass center Z' on pic below): W = 3 m H = 1,928 m = 2 х 0,964 m Spoiler Our task: figure out on what speed it will start overturn. Аssumptions 1) We suppose that T-34 stops in 1 sec from max speed to 0. 2) We neglect that T-34 needs some time to turn from front to side (we believe that it already moving sideways at the beginning of our experiment) Our task is like a task about overturning sandbox (see below - we neglect Height of obstacle "O"). = => amax = (3 / 1,928 ) х 9,81 = 15,26 m/s^2 => Let's suppose we are driving at 55 km/h and stopping in 1 sec => 55 km/h = 15,2778 m/s => a = 15,23 m/s / 1 s = 15,23 m/s^2 < 15,26 m/s^2 - WILL NOT OVERTURN 60 km/h = 16,6667 m/s => a = 16,67 m/s / 1 s = 16,67 m/s^2 > 15,26 m/s^2 - POSSIBLY OVERTURN So, each time we have to look at - top speed - how fast and which radius it turns But anyway, on flat ground overturn hardly possible IMHO, because of tanks always lose its speed at beginning or turning (+ 26-30 tons tank very hard to stop in 1 sec) so these perfect conditions as discribed in the task are never met. So I think it's definitely a bug which should be posted in bug reports thread. PS - in cases like that T-34 should lose their tracks. There are a lot of memories of soviet veterans who tells that. Edited July 20, 2020 by Lofte 2
[KG]Destaex Posted July 20, 2020 Posted July 20, 2020 (edited) You should lose a track if you do not drive the tank properly. But how frustrating would it be to command a tank with a bad AI driver that keeps throwing tracks. Even worse, how bad would it be if only human drivers threw tracks and therefore everybody used AI drivers. A conundrum for sure. Edited July 20, 2020 by [KG]Destaex
LachenKrieg Posted July 20, 2020 Posted July 20, 2020 10 hours ago, [KG]Destaex said: With regard to people wanting harsher noises which my poor tinnitus ridden ears cannot handle in the flight sim version of this game (you cannot turn the engine sounds down so its all or nothing), the russians seem to have had more hearing insulation than the germans for tanks. I think the fermans wore ear muffs and that the mic and headphone setup would have allowed a good level of hearing above the din of the motor? Like the boom of the cannon, the roar of the engine, the whine of the transmission, or the groan of the hulking mass as it comes to a complete stop (a really nice touch BTW), track sounds and accurately modeled track movements should be considered as a major element in a tank simulator. Being tracked vehicles, you might even argue that they are the elements most representative of the thing being simulated. This mostly concerns the sound of the simulation from an exterior view, or when the tank is in motion and the crew is unbuttoned. I wouldn't use the word harsher to describe any improvements, but would like to see the Dev's more accurately model the track movement for some tanks (neutral steer), and make track sounds more distinctive. Sound is just as important to a computer simulation as model detail and visual effects. You can always turn the volume setting on your computer down if the sound bothers you, but you can't add sound that isn't there.
[KG]Destaex Posted July 20, 2020 Posted July 20, 2020 (edited) PIn DCS they have a mode called "hear like in helmet" or something. I love that because it cuts the tinnitus wavelengths out for me. If I have a flight sim turned down I miss so many sound queues. I just don't want to end up having what they did with il2 BOS, which was one sound control for all sounds. Which meant you had no choice but to turn up everything so you could hear the little things, where in fact you would have massive ear protection on anyways. It was like being outside of the aircraft while playing from the inside. It meant if I wanted to hear the engine cough and splutter I had to give myself a headache. It's completely unplayable for me. I doubt tanks would be as bad or as high pitched. I know the sound you want, the saving private ryan sound right? Did the tanks of kursk era still use rubber on the road wheels? I know later they saved it by going all metal on metal. You want to have to turn the engine off and tske your headset off to be able to listen for the enemy. Anyways. Enough of my tinnitus problem. I understand I am in the minority here for that condition... war thunder was nice as well in that it had a tinnitus noise cancellation feature. I guess more than a few of us have been exposed to very loud noises in our lives that cause tinnitus and it is at least recognised somewhat. Edited July 20, 2020 by [KG]Destaex
LachenKrieg Posted July 20, 2020 Posted July 20, 2020 See the level of detail in the wheel damage model, or check out how well they have modeled the speed of wheel rotation as the tank speed changes in a turn, or as it drives over different terrain? That is how you attract loyal customers to a computer simulator. Improving the sound and other visual effects can only add the number of loyal customers.
[KG]Destaex Posted July 20, 2020 Posted July 20, 2020 (edited) I’m not against it. I just want it implimented so I can choose whether to individually lower the “deafening” class of noises like track or engine if they are too loud for me. Similar to me adding more padding to my headset if I was a crewman. I still need to hear the other feedback sounds. Heck, I can adjust all of the graphical and control settings as well as contrast, resolution, texture, hz etc. but this game has one sound setting. No sound balance or track volume adjustment. Edited July 20, 2020 by [KG]Destaex
LachenKrieg Posted July 20, 2020 Posted July 20, 2020 9 minutes ago, [KG]Destaex said: PIn DCS they have a mode called "hear like in helmet" or something. I love that because it cuts the tinnitus wavelengths out for me. If I have a flight sim turned down I miss so many sound queues. I just don't want to end up having what they did with il2 BOS, which was one sound control for all sounds. Which meant you had no choice but to turn up everything so you could hear the little things, where in fact you would have massive ear protection on anyways. It was like being outside of the aircraft while playing from the inside. It meant if I wanted to hear the engine cough and splutter I had to give myself a headache. It's completely unplayable for me. I doubt tanks would be as bad or as high pitched. I know the sound you want, the saving private ryan sound right? Did the tanks of kursk era still use rubber on the road wheels? I know later they saved it by going all metal on metal. You want to have to turn the engine off and tske your headset off to be able to listen for the enemy. Anyways. Enough of my tinnitus problem. I understand I am in the minority here for that condition... war thunder was nice as well in that it had a tinnitus noise cancellation feature. I guess more than a few of us have been exposed to very loud noises in our lives that cause tinnitus and it is at least recognised somewhat. I get how that must be problematic for you, especially firing the cannons. I love the sound of the Ferdinand's cannon when in external view. It has a wicked crack to it. But probably not so enjoyable for you. Any improvement in track sounds wouldn't be anywhere near as bad as that though. In fact just making them more distinctive so you can separate track sounds from engine noise is all that is needed. The initial tanks were early production just like in Tank Crew. A lot of the sound I imagine comes from the track links and the pins that held them together. That and the metalic thumping sound you hear as each link compresses the road surface under the weight of a 50 ton vehicle.
stupor-mundi Posted July 20, 2020 Author Posted July 20, 2020 (edited) 9 hours ago, Lofte said: Let's take school physik's course and figure out - is it really cartoonish or not. That approach only takes you so far. A simplified reality with objects of the correct mass and so on, will still be cartoonish in the context of tanks, if they behave like pool billiard balls, bouncing off each other, with infinite energy retention, no losses due to friction, etc. It's this modeling of the tanks as stiff unyielding boxes which is a part of the problem. Edited July 20, 2020 by stupor-mundi
Lofte Posted July 20, 2020 Posted July 20, 2020 3 hours ago, stupor-mundi said: That approach only takes you so far. No. That approach lets us evaluate posibility of overturn for real T-34 and to do it fast and simple. And it tells us that it is not possible with high degree of probability. Have you any other proofs or calculations for that what happened to you could not be IRL? Or "it's just obvious"?
69th_chuter Posted July 23, 2020 Posted July 23, 2020 I can recall charging down a road at speed in a Panzer 3 and being fired at from more than 1500m by a AAA gun of some type (I assume an 85mm) and a shot coming from my 10 oclock hit the rear left of my tank and spun me around to the left three and a half times. ? I didn't tip over. ? Of course, the issue is getting spun around at all. The impact impulse is so sharp and fast there should be very little vehicle recoil due to its mass.
Lofte Posted July 23, 2020 Posted July 23, 2020 (edited) 1 hour ago, chuter said: Of course, the issue is getting spun around at all. The impact impulse is so sharp and fast there should be very little vehicle recoil due to its mass. Maybe you spinning occured not because of impact impulse but because of instant jamming of left track and breaking down of left part of suspension? Edited July 23, 2020 by Lofte
SCG_judgedeath3 Posted July 23, 2020 Posted July 23, 2020 Yep, if one of the tracks gets cut/destroyed the tank will spinn in circles until it comes to a halt or forever if you keep driving. The working track will just make it spinn until the other track is repaired.
69th_chuter Posted July 24, 2020 Posted July 24, 2020 track wasn't cut. after i came to a stop i tried to get behind cover but engine damage prevented me from moving very fast and repeated hits eventually killed me.
Recommended Posts
Create an account or sign in to comment
You need to be a member in order to leave a comment
Create an account
Sign up for a new account in our community. It's easy!
Register a new accountSign in
Already have an account? Sign in here.
Sign In Now