il2crashesnfails Posted November 25, 2018 Posted November 25, 2018 I did a dive test with a 109 at got to around 900ish with funny engine problems. Does anyone know if a spitfire can go 900+ and pull out of dive?
[TWB]Sauerkraut- Posted November 25, 2018 Posted November 25, 2018 (edited) Whatever it was that I just watched, it is clearly a bug, probably introduced with the new aerodynamics that are supposed to take into account compressibility. You should make sure someone from the dev team sees this immediately. Anyway, since the sim is clearly borked here, I'm going to talk about real life performance, not sim performance. The answer is, it depends on your altitude. I'm going to be talking about max dive speeds here. I don't know about dive acceleration, though based on what I've seen I'm assuming that they are pretty close in that regard, so I'm not going to talk about it. Short answer, the spitfire can out dive a 109 at high altitude, but below ~20,000 ft (6k) a 109 will out dive a spitfire. This is because a 109 has a significantly higher maximum IAS than the spitfire, which has one of the lowest allowable IAS of any WWII fighter. However, the spitfire's critical mach number is one of the highest of any WWII fighter. This means that at higher altitudes where the critical mach number becomes the limiting factor, the spitfire can out dive almost any WWII fighter. However, once the dive goes below ~20,000 ft, the maximum IAS becomes the limiting factor for the spitfire. The spitfire will have to slow down or it will start to breakup. As it descends it becomes one of the slowest diving fighters. Anyway, even if the sim wasn't clearly screwed up here, for all practical purposes the spitfire is the slowest diving fighter in the game b/c no one is really ever flying above 6k. Edited November 25, 2018 by itsthatguy 1 2 1
Legioneod Posted November 25, 2018 Posted November 25, 2018 Fastest I've dove in a K4 was 580-590 Mph (933-949 kmh) I didnt take any structural damage until around 580mph. 1
MiloMorai Posted November 25, 2018 Posted November 25, 2018 Please give altitude when giving dive speeds. 1
mumbojumbo Posted November 25, 2018 Posted November 25, 2018 Diving limit in the pilots manual of the LF mk ix below 20,000 ft is 450mph ias (720 kmh). That's not slower than the yaks or laggs. I've seen a Mach limit of 0.89 but don't know of its trustworthiness. As for in game I have no idea, with the 100kmh buffer that I've been told the devs give, it should break up at just over 800 kmh (512 mph). 1
CountZero Posted November 25, 2018 Posted November 25, 2018 in game strait dive to ground from 10000m in spit9 lose alerons at ~2500m at ~830kmh, lose all control serfices at ~850kmh. cliped wing option same speeds just on higher alts at it accelarates faster to 830kmh. 1
il2crashesnfails Posted November 26, 2018 Author Posted November 26, 2018 21 hours ago, raaaid said: well maybe you could break the sound barrier in a dive in the game if you dont mind pulling out has anyone tried? I have problem of getting high enough plane starts to stall at very high altitude!
Legioneod Posted November 26, 2018 Posted November 26, 2018 15 minutes ago, il2crashesnfails said: I have problem of getting high enough plane starts to stall at very high altitude! Just start at 10,000m in quick missions and dive straight down. 1
il2crashesnfails Posted November 26, 2018 Author Posted November 26, 2018 2 hours ago, Legioneod said: Just start at 10,000m in quick missions and dive straight down. I do i found I needed to go higher 32 minutes ago, raaaid said: maybe going straight down is not the best way, i guess there must be an ideal pitch ask nasa Yeah, I think that is the best idea. There is really no need for such a steep descent.
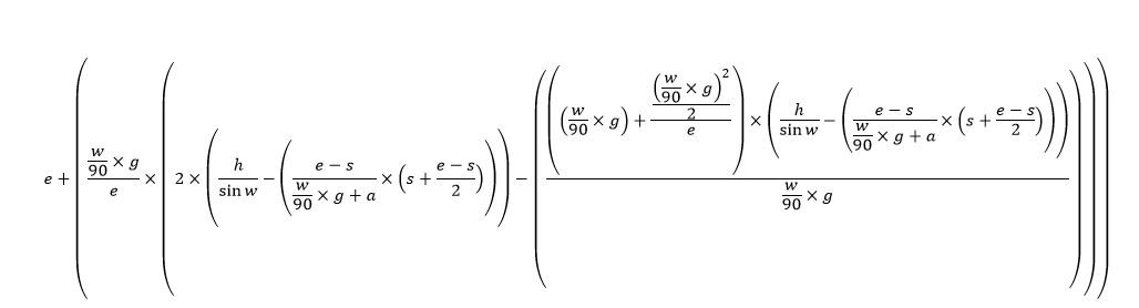
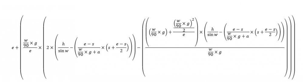
[PFR]Sarpalaxan Posted November 27, 2018 Posted November 27, 2018 (edited) On 11/26/2018 at 12:30 PM, raaaid said: maybe going straight down is not the best way, i guess there must be an ideal pitch ask nasa Well I made a little formula to approximate the final dive speed. Although I took the liberty of leaving drag out of the equation. Had enough of talking about drag for a few days. So for the final Dive speed in m/s you just need to plug in the following Factors. s = Speed at the Start of the Dive=m/s g = Gravity = m/s2 m =Average acceleration of the Engine between the start speed and the maximum speed of the engine= m/s2 e = Maximum Speed of the Engine= m/s H = pure height of the dive (Without pulling into and out of the dive) = m W = Angle of the dive= ° Plug in the numbers of the dive you want to do, repeat for every angle and voila you would get the perfect angle. As long as the dive is long enough to reach the maximum speed the engine can handle it should work. Edited November 27, 2018 by Sarpalaxan 1
Recommended Posts
Create an account or sign in to comment
You need to be a member in order to leave a comment
Create an account
Sign up for a new account in our community. It's easy!
Register a new accountSign in
Already have an account? Sign in here.
Sign In Now